buhtapelikanoff.ru

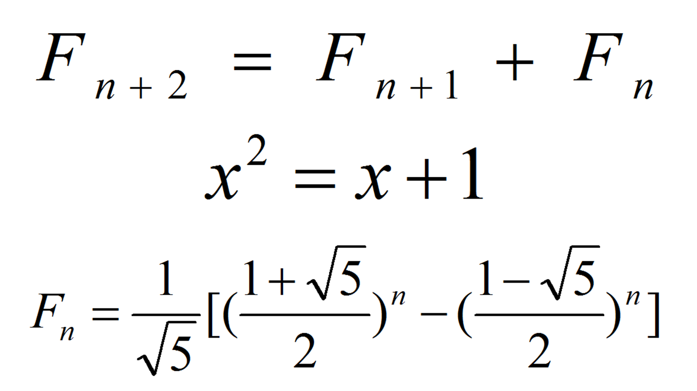
費 波 那 契 數列 一般 式 (94) 사진

斐波那契交易教學:如何利用斐波那契回撤提升交易策略

數列Sequence丨#DSE數學系列】 三角形數數列(Triangular Number Sequence)是其中一個DSE十分常考的數列 ,多見於MC多項選擇題的題目。然而,大部分學校都唔會仔細教呢個數列嘅公式同埋原理。 三角形數數列指的是,該數列的數量永遠可以排成一個等邊三角形。換句話講,如果  ...

iT 邦幫忙::一起幫忙解決難題,拯救IT 人的一天

斐波那契数列迭代、迭代、迭代解法斐波那契数列斐波那契数列是另一个可以用递归解决的问题。它是一个由0、1、1、2、3、5 - 掘金

昨天我兒教我一組特殊的數字—斐波那契數列(Fibonacci Sequence)! He really loves to self-study  math.🤗, 如果你也想教寶貝學斐波那契數列,可以按照這些簡單的步驟唷:, (跟寶貝說),  想像你在一場神奇的數學冒險,你發現了一組特別的數字叫斐波那契數列。, This is how it works. ...

用x种方式求第n项斐波那契数,99%的人只会第一种-腾讯云开发者社区-腾讯云

Hofstadter的非线性递推数列| Matrix67: The Aha Moments

经典算法-(二)斐波那契数列(费式数列) - code-life - 博客园

波浪理論第5章費波那契數列與黃金比率

斐波那契平方和-CSDN博客

植物中的費波那契數列-國立自然科學博物館

小学奥数--斐波那契数列典型例题(共4页)_夸克文档

フィボナッチ数列の一般項を求めたい方が、まずはじめに読む記事。 – Frontiesta

寒假先修11-費氏數列的遞迴關係(Fibonacci sequence) --「數研最美」

玩具模型竟藏黃金比例! 費氏數列大解密│中視新聞 20160619

浅谈斐波那契数列和卡特兰数- 北烛青澜- 博客园

斐波那契数列计算| PDF

学习斐波那契数列,了解算法思想这样就大大降低了计算所需要的时间。 - 掘金

用matlab 计算斐波那契数列_matlab fibnacci-CSDN博客

斐波那契数列之美-腾讯云开发者社区-腾讯云

黄金螺线及黄金分割线《黄金比例》 - 必威体育下载,必威体育手机客户端,必威体育手机版本下载

數感實驗室- ▩ #數感生活|慧眼型數學家費波納契▩ ​ 大家早安!現在是11月23日的清晨5點08分。1、1、2、3、5、8⋯⋯這個數列 ,從第三項開始,每一項都是它前面兩項的和(1+1=2、1+2=3、2+3=5⋯⋯以此類推)。義大利商人暨數學家費波納契(Leonardo  Fibonacci)在他的 ...

植物中的費波那契數列-國立自然科學博物館

斐波那契回撤- 外匯市場最受歡迎的技術分析方法

費波那契彈(談)正弦--F-sine 卷積恆等式

費波那契數列只是兔子數列嗎? | 人間福報

PPT - 斐波那契数列PowerPoint Presentation, free download - ID:7055570

費波那契數列解法總整理| Mr. Opengate

洛谷P1962:斐波那契数列← 矩阵快速幂-CSDN博客

最快的費氏數列演算法? : r/math

大自然的密碼-費波那契數列與黃金比例】  鳳梨、松樹掉落的毬果、向日葵中都藏著數學密碼,想必有關注粉專的朋友不久都有聽到朱老師介紹過。不知道大家有沒有在其他植物、動物甚至大自然中也發現數學密碼呢?  細數圖片中#

学习笔记】斐波那契数列的简单性质- changle_cyx - 博客园

波浪理論第5章費波那契數列與黃金比率

Blockly C++費氏數列與記憶性遞迴(Fibonacci sequence & C++ Recursion with Memoization)

一文解读斐波那契数列原理及生成器实现_lagged-fibonacci序列的生成-CSDN博客

斐波纳契数列- 阿小杜- 博客园

費波那契回撤完整教學,運用黃金比例來做投資交易|Fibonacci - 量化通QuantPass

斐波那契fibonacci | 小傅哥bugstack 虫洞栈

斐波那契fibonacci | 小傅哥bugstack 虫洞栈

斐波那契数列计算- Dead_Micky - 博客园

費氏數列公式: r/askmath

數感實驗室- 【數感生活——莫名其妙藏在分數裡的費波那契數列?!】 網友Jace Ju分享了一則有趣的twitter趣味數學是這樣的:  有一個奇怪的分數,分子為1,分母是48位數,其中只有第24位是8,其餘位數全部都是9。這個分數化成小數時,會規律地從第48位起,每隔24位出現一組  ...

費波那契數列解法總整理| Mr. Opengate

解差分方程找出費波納契數列的公式

PowerPoint 簡報

著名的数列公式| PDF

斐波那契数列相关问题精讲- 知乎

費氏數列和兔子問題

(DM12-20131125-12) 費氏數列的一般式解法

一个前端眼中的斐波那契数列大学时期,每学习一门新编程语言,就会被要求重新实现一遍斐波那契数列算法。那时,常用的方法即递归-

波浪理論第5章費波那契數列與黃金比率

費氏數列無所不在🤯 #翻譯梗圖

🌿✨ 費波那契數列:大自然中的數學奇蹟✨🌿 你知道嗎?我們周圍的大自然,其實藏著一個神奇的數學秘密——費波那契數列!📐 費波那契數列是這樣的:  0, 1, 1, 2, 3, 5, 8, 13, 21, 34, … 🧮 每個數字都是前兩個數字的和! 但你可能會驚訝地發現,這個簡單的數列在自然界中  ...

費波那契數列解法總整理| Mr. Opengate

发现了一个生成斐波那契数列的方法: r/math

算法]JS 实现斐波那契数列斐波那契数列,又称黄金分割数列,是一种递归的数列,以它的递推公式和美丽的数学性质得到了广泛-

斐波那契fibonacci | 小傅哥bugstack 虫洞栈

趨勢斐波那契擴展線(Trend-Based Fib Extension) — TradingView

有人無聊的時候也會背費氏數列嗎? : r/aspiememes

費波那契數列解法總整理| Mr. Opengate

斐波那契数列Fibonacci问题—动态规划- evenleo - 博客园

斐波那契交易教學:如何利用斐波那契回撤提升交易策略

費波那契數列( 費氏數列) - Python 教學| STEAM 教育學習網

兔子生兔子,費波那契生出費氏數列——位數根的快樂夥伴(一) - PanSci 泛科學

斐波那契交易教學:如何利用斐波那契回撤提升交易策略

斐波那契交易教學:如何利用斐波那契回撤提升交易策略

初學者學演算法|從費氏數列認識何謂遞迴. 程式麻瓜的程式知識課(七) | by Cheng-Wei Hu | 胡程維| Aiworks | Medium

波浪理論第5章費波那契數列與黃金比率

斐波那契圈(Fib Circles) — TradingView

斐波那契数列的python算法及其时间复杂度对比- 美好蓝图-谢黎老师的小木屋

活用費波那契係數與爆量指標進行技術分析

斐波那契数列介绍、编程实现及推广- 雪喻礼赞- 博客园

斐波那契回撤(Fib Retracement) — TradingView

笔记》青蛙跳台阶——斐波那契数列_青蛙数列-CSDN博客

斐波那契数列的一些重要性质_斐波那契数列重要性质-CSDN博客

Fibonacci #斐波那契數列上了一堂數學課用文字來說,就是由0和1開始,之後的費波那契數就是由之前的兩數相加而得出。 1、 1、 2、 3、  5、 8 以此類推- —————————————————————

Discussion of Fibonacci sequence. | Tony Ko

費波那契數列解法總整理| Mr. Opengate

斐波那契数列的通项公式- 知乎

斐波那契趨勢時間(Trend-Based Fib Time) — TradingView

費波那契數列解法總整理| Mr. Opengate

費氏型遞迴式~(by myself) 各位未來的數學家,科學家,大家好! 我獨立思考寫了費氏型遞迴式。 (本人沈愈騰著於11 4年0  2月13日於路易莎咖啡,一杯咖啡,一支筆,獨立思考完成,我享有著作權,在此聲明,侵害必究!)

Dynamic Programming Explanation with Fibonacci 用費波那契數列來入手動態規劃| by Ryan Yang  | Medium

波浪理論第5章費波那契數列與黃金比率

費氏型遞迴式~(by myself) 各位未來的數學家,科學家,大家好! 我獨立思考寫了費氏型遞迴式。 (本人沈愈騰著於11 4年0  2月13日於路易莎咖啡,一杯咖啡,一支筆,獨立思考完成,我享有著作權,在此聲明,侵害必究!)

費氏數怎麼算? – 小眾計算學

如何使用斐波那契回调进行交易| CMC Markets

PowerPoint 簡報

例題】數列的規律:費氏數列| 數學| 均一教育平台

PDF) To Explore the General Term Formula and Simple Properties of Fibonacci  Sequence

斐波那契数列的python算法及其时间复杂度对比- 美好蓝图-谢黎老师的小木屋

Pymath HOC 2018 費氏數列4:用通項公式來產生費氏數列

投稿類別:數學類篇名: 費波那契與巴斯卡的羈絆~費式數列與排列組合~ 作者: 洪瑞隆。高雄

20 февраль 0 0
2023 copyright text.