buhtapelikanoff.ru

斐 波 那 契 數列 記憶 法 (96) 사진

爬楼梯:经典动态规划+递归法- RioTian - 博客园

动态规划-斐波拉契数列笔记_51CTO博客_斐波那契数列动态规划

斐波那契数列迭代、迭代、迭代解法斐波那契数列斐波那契数列是另一个可以用递归解决的问题。它是一个由0、1、1、2、3、5 - 掘金

面试题精选:神奇的斐波那契数列-腾讯云开发者社区-腾讯云

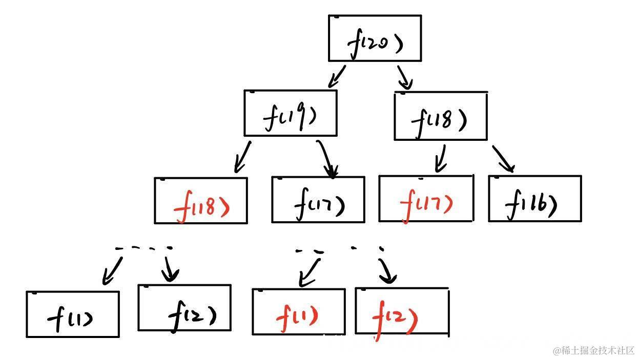
遞迴的奧秘:從費波那契數列到動態規劃的演算法升級之路

我用Python 算出了斐波那契数列的第1,000,000 个数: r/Python

有人無聊的時候也會背費氏數列嗎? : r/aspiememes

递归,记忆化递归,复杂度,尾递归- Glaci - 博客园

斐波那契交易法: 拉瑞·佩萨温托: 9787203096061: Books - Amazon.ca

費波那契數列解法總整理| Mr. Opengate

fast computing Matrix Power& Fibonacci  sequence(C++實做MSBF快速演算矩陣次方與費氏數列,算f(91)只需時2.55e-7秒)

5大基礎技術分析工具】外匯市場婓波納契怎麼畫? 外匯小生

適當的留白讓排版有呼吸空間一張簡單海報編排其實大有學問🍕今天要介紹大家四種推薦格線系統可以梳理閱讀邏輯,抓到版面和諧的平衡點

经典算法之动态规划法– 标点符

斐波那契回調最完整教學 Fibonacci Retracement!尋找最佳進出場點位!『技術分析教程系列10』#斐波那契回撤

費波那契數列解法總整理| Mr. Opengate

斐波那契回調實戰解析:低點不是運氣,這條線準到離譜(每次都能上車)

斐波那契数列的优化方案- 才瓯- 博客园

排版法则III:Fibonacci sequence斐波那契数列- 知乎

JavaScript - Memoization 記憶函式- HackMD

Amazon.com: FIBONAX 斐波那契時鐘,藍牙同步:數學主題桌面時鐘,獨特的STEM 禮物,成人,工程師和老師,現代辦公室裝飾教育時計:  居家與廚房

遺忘曲線- 維基百科,自由的百科全書

斐波那契数列(记忆法优化和直接for循环)-CSDN博客

LCR 127. 跳跃训练- 力扣(LeetCode)

Amazon.com: FIBONAX 斐波那契時鐘,藍牙同步:數學主題桌面時鐘,獨特的STEM 禮物,成人,工程師和老師,現代辦公室裝飾教育時計:  居家與廚房

數列Sequence丨#DSE數學系列】 三角形數數列(Triangular Number Sequence)是其中一個DSE十分常考的數列 ,多見於MC多項選擇題的題目。然而,大部分學校都唔會仔細教呢個數列嘅公式同埋原理。 三角形數數列指的是,該數列的數量永遠可以排成一個等邊三角形。換句話講,如果  ...

斐波那契| PDF

陶在樸觀點: 學術論文造假的斐波那契兔子數列| 陶在樸| 評論- 風傳媒

什麼是技術指標? 如何在交易策略中使用它? | Pepperstone

費波那契數列( 費氏數列) - Python 教學| STEAM 教育學習網

最优化-斐波那契数列(fibonacci)优化方法算法原理及代码实现-CSDN博客

如何在加密交易中使用費波納奇黃金口袋

水晶雜談(101)斐波那契數列

昨天我兒教我一組特殊的數字—斐波那契數列(Fibonacci Sequence)! He really loves to self-study  math.🤗 如果你也想教寶貝學斐波那契數列,可以按照這些簡單的步驟唷: (跟寶貝說) 想像你在一場神奇的數學冒險,你發現了一組特別的數字叫 斐波那契數列。 This is how it ...

你可以用科學的費波納奇序列學外語. 學習系列| by 恩希| Medium

費波那契數列解法總整理| Mr. Opengate

告别4px 间距,迎接斐波那契数列- 设计每日一贴---北京兰亭妙微/UI设计公司

LCR 126. 斐波那契数- 力扣(LeetCode)

斐波那契数列· 雪之梦技术驿站

从最简单的斐波那契数列来学习动态规划(JavaScript版本)-斐波那契数列动态规划

LeetCode 重拳出击] 四种方法解斐波那契数列这类型的题| 算法| 递归思路| js 实现| 小白刷题| 面试找工作| Fibonacci  Number |

DeepSeek 官方提示词(完整版) | PDF

斐波那契问题的logn解法及推广斐波那契数列问题,是一个特别典型的暴力递归转动态规划的算法原型题目,同时它的变种问题也层-

递归or 记忆化搜索?谁更优秀? - 知乎

斐波那契数列的多种解法求任意位置的斐波那契数,最常见的做法是使用递归,这种做法虽然可以得到结果,但是它的性能很差。 本文- 掘金

昨天我兒教我一組特殊的數字—斐波那契數列(Fibonacci Sequence)! He really loves to self-study  math.🤗, 如果你也想教寶貝學斐波那契數列,可以按照這些簡單的步驟唷:, (跟寶貝說),  想像你在一場神奇的數學冒險,你發現了一組特別的數字叫斐波那契數列。, This is how it works. ...

5大基礎技術分析工具】外匯市場婓波納契怎麼畫? 外匯小生

动态规划简明教程- 1 - 蛮荆

初學者學演算法|從費氏數列認識何謂遞迴. 程式麻瓜的程式知識課(七) | by Cheng-Wei Hu | 胡程維| Aiworks | Medium

Rust专项——算法专项:斐波那契数列——递归实现与优化-腾讯云开发者社区-腾讯云

从斐波那契- 谈及动态规划- 优化经典算法斐波那契递归算法复杂度如何分析简化fibonacci执行次数fibo - 掘金

告别4px 间距,迎接斐波那契数列- 设计每日一贴---北京兰亭妙微/UI设计公司

LeetCode509. 斐波那契数-腾讯云开发者社区-腾讯云

动态规划问题- 古道的技术博客

斐波那契数列(记忆法优化和直接for循环)-CSDN博客

Discussion of Fibonacci sequence. | Tony Ko

改善记忆力的二十种记忆方法,随便你挑! - 琴水玉- 博客园

算法学习][动态规划] 斐波那契数列

动态规划(01)——从斐波那契到硬币找零

斐波那契故事点| Atlassian

剑指Offer 10- I. 斐波那契数列(从重叠子问题到备忘录到dp数组迭代解法)写一个函数,输入n ,求斐波那- 掘金

斐波那契数列的多种解法求任意位置的斐波那契数,最常见的做法是使用递归,这种做法虽然可以得到结果,但是它的性能很差。 本文- 掘金

斐波那契數:來源,定義,公式,遞推公式,通項公式,公式推導,關係,數列,遊戲,相關_中文百科全書

线上课程实盘讲解 第三班 (一)- K线突破,斐波那契(Fibonacci)的使用方法

▩ #數感生活|慧眼型數學家費波納契▩ ​ 大家早安!現在是11月23日的清晨5點08分。1、1、2、3、5、8⋯⋯這個數列 ,從第三項開始,每一項都是它前面兩項的和(1+1=2、1+2=3、2+3=5⋯⋯以此類推)。義大利商人暨數學家費波納契(Leonardo  Fibonacci)在他的著作《計算之書 ...

神奇的斐波那契数列_斐波那契数列的神奇之处-CSDN博客

透過Fibonacci 數列來背單字,並且很有效。真的太酷了。  大家可以看看這個影片,一個美國女生來臺灣一年半傳教,並且學習中文的分享。她提出幾個語言學習的建議,在記憶單字的時候提到了利用Fibonacci  numbers 來設定複習單字的時間點,讓腦部的長期記憶區能記住學習的 ...

LCR 126. 斐波那契数- 力扣(LeetCode)

最快的費氏數列演算法? : r/math

我从卷心菜里发现了斐波那契数列: r/mildlyinteresting

2.2 迭代與遞迴- Hello 演算法

費波那契數列解法總整理| Mr. Opengate

iT 邦幫忙::一起幫忙解決難題,拯救IT 人的一天

斐波那契数列计算| PDF

面试中几种常见的斐波那契数列模型

这几个动态规划的问题,面试官就爱问-华为开发者话题| 华为开发者联盟

求斐波那契数列(Fibonacci Numbers)算法居然有9种,你知道几种?

Blockly C++費氏數列與記憶性遞迴(Fibonacci sequence & C++ Recursion with Memoization)

LeetCode509. 斐波那契数-腾讯云开发者社区-腾讯云

掌握斐波那契回撤的指南| 幣安廣場上的Binance Academy

數列Sequence丨#DSE數學系列】 三角形數數列(Triangular Number Sequence)是其中一個DSE十分常考的數列 ,多見於MC多項選擇題的題目。然而,大部分學校都唔會仔細教呢個數列嘅公式同埋原理。 三角形數數列指的是,該數列的數量永遠可以排成一個等邊三角形。換句話講,如果  ...

費波那契數列解法總整理| Mr. Opengate

排版法则III:Fibonacci sequence斐波那契数列- 知乎

浅谈:算法中的斐波那契数(七)-CSDN博客

全面理解递归- 知乎

学习斐波那契数列,了解算法思想这样就大大降低了计算所需要的时间。 - 掘金

女儿与斐波纳契数列- 星辉看世界- Xinhui Times

动态函数调用- 零基础入门Java AI

斐波那契数列- 维基百科| PDF

斐波那契数列(记忆法优化和直接for循环)-CSDN博客

动态规划1】斐波那契数列模型篇-腾讯云开发者社区-腾讯云

全面回忆- 动态间隔重复学习(斐波那契数列方法) : r/Notion

5大基礎技術分析工具】外匯市場婓波納契怎麼畫? 外匯小生

PPT - 第一章演算法:效率、分析與量級PowerPoint Presentation - ID:6682077

leetcode -- 递归法- 长安不乱- 博客园

20 февраль 0 0
2023 copyright text.